Combinatoria con repetición

La combinatoria con repetición son los diferentes conjuntos que se pueden formar con «n» elementos, seleccionados de x en x, permitiendo que estos se puedan repetir. Cada conjunto se debe diferenciar del anterior en al menos uno de sus elementos (el orden no importa).
La combinatoria con repetición es de uso común en estadística y matemáticas. Esta se ajusta a muchas situaciones de la vida real y su aplicación es relativamente sencilla.
Imaginemos que estamos en una bodega que dispone de 7 variedades de vino. Queremos escoger 3 de sus variedades pudiendo elegir entre tinto, rosado, blanco, tinto especial, rosado especial, blanco especial y afrutado. Dado que los sucesos no son mutuamente excluyentes, en nuestra selección podemos repetir cualquiera de los elementos. Siendo así y poniendo algunos ejemplos podemos elegir tinto, tinto y rosado especial o rosado, rosado y tinto o blanco, blanco y rosado.
Por lo tanto, la combinatoria con repetición nos dice cómo formar o agrupar una cantidad de datos/observaciones finita, en grupos de una cantidad determinada, pudiéndose repetir alguno de sus elementos. Esta es la principal diferencia entre la combinatoria con repetición (se pueden repetir los elementos en cada selección) y la combinatoria sin repetición (no se puede repetir ningún elemento en cada selección)
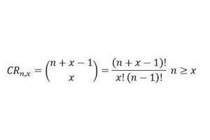
¿Cómo calcular la combinatoria con repetición?
La fórmula de cálculo de la combinatoria con repetición es la siguiente:
n = Observaciones totales
x = Número de elementos seleccionados
Ejemplo de combinatoria con repetición
Imaginemos que estamos en una pastelería con una selección de 10 pasteles distintos. Queremos realizar una selección de 6 pasteles, ¿Cuántas combinaciones con repetición distintas podríamos formar?
En primer lugar identificamos los elementos totales que en este caso son 10 pasteles. Por tanto ya tenemos nuestra n (n = 10). Como queremos seleccionar 6 pasteles de los 10 posibles, nuestra x va a ser 6 (x =6). Sabiendo esto, no tenemos más que aplicar la formula.
Para calcular el numerador tendríamos que calcular el factorial de 15, el cual sería 15*14*13…*1 y en el denominador tendríamos el factorial de 6 (6*5*4…*1) multiplicado por el factorial de 9 (9*8*7*…1).
Nuestro resultado sería:
1.307.674.368.000,00/720*362.880 = 5.005
Podemos ver que aunque las variedades entre las que podemos elegir no son muy elevadas, al poder repetir los elementos, las combinaciones que se pueden dar son enormes.
Autores
Publicado por Francisco Javier Marco Sanjuán el 16 noviembre 2017.
Revisado por última vez el 24 noviembre 2022.
Cómo citar este artículo
Javier Marco Sanjuán, F. (2017). Combinatoria con repetición. Economipedia. https://economipedia.com/definiciones/combinatoria-con-repeticion.html
Sobre Economipedia
Este artículo forma parte de la enciclopedia de Economipedia, una plataforma de educación financiera que ayuda a millones de personas a entender la economía, aprender a invertir y mejorar sus finanzas personales. Fundada en 2012 por Andrés Sevilla Arias y desarrollada por más de 50 economistas y asesores financieros.
Todavía no hay comentarios
Hay 2 tipos de personas: las que leen y se van…y las que dejan huella 👇


