Propiedades de los valores esperados

El valor esperado de una variable aleatoria es el concepto análogo al algebra matemática que contempla la media aritmética del conjunto de observaciones de dicha variable.
En otras palabras, el valor esperado de una variable aleatoria es el valor que aparece con más frecuencia a lo largo de repetir un experimento muchas veces.
Propiedades de los valores esperados de una variable aleatoria
El valor esperado de una variable aleatoria tiene tres propiedades que desarrollamos a continuación:
Propiedad 1
Para cualquier constante g, el valor esperado de esta constante se expresará como E(g) y será la misma constante g. Matemáticamente:
E(g) = g
Dado que g es una constante, es decir, que no depende de ninguna variable, su valor permanecerá igual.
Ejemplo
¿Cuál es el valor esperado de 1? En otras palabras, ¿Qué valor le asignamos al número 1?
E(1) = ¿?
Exacto, al número 1 le asignamos el valor de 1 y su valor no cambiará por mucho que pasen los años o ocurran desastres naturales. Entonces, estamos tratando con una variable constante y por tanto:
E(1) = 1 ó E(g)=g
Pueden probar con otros números.
Propiedad 2
Para cualquier constante h y k, el valor esperado de la recta h·X + k será igual a la constante h multiplicada por la esperanza de la variable aleatoria X más la constante k. Matemáticamente:
E(h·X + k) = h·E(X) + k
Fíjense bien, ¿no os recuerda a una recta muy famosa? Exacto, la recta de regresión.
Si sustituimos:
E(h·X + k) = Y
E(X) = X
k = B0
h = B1
Tenemos:
Y = B0 + B1·X
Cuando se estiman los coeficientes B0 , B1 , es decir, ^B0 , ^B1 , estos se mantienen igual para toda la muestra. Entonces, estamos aplicando la propiedad 1:
E(^B0) = B0
E(^B1) = B1
Aquí encontramos también la propiedad de insesgadez, es decir, que el valor esperado del estimador es igual a su valor poblacional.
Retomando E(h·X + k) = h·E(X) + k, es importante tener en cuenta que Y es E(h·X + k) cuando se saquen conclusiones de las rectas de regresión. En otras palabras, sería decir que cuando X aumenta en una unidad, Y aumenta de media h unidades, dado que Y es el valor esperado de la recta h·X + k.
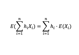
Propiedad 3
Si H es un vector de constantes y X es un vector de variables aleatorias, entonces, se puede expresar el valor esperado como la suma de los valores esperados.
H = {h1 , h2, , … , hn}
X = {X1 , X2, , … , Xn}
E(h1·X1 + h2·X2 + … + hn·Xn) = h1·E(X1) + h2·E(X2) + … + hn·E(Xn)
Expresado con sumatorios:

Esta propiedad es de gran utilidad para las derivaciones en el campo de la estadística matemática.
Autores
Publicado por Paula Rodó el 8 noviembre 2020.
Revisado por última vez el 24 noviembre 2022.
Cómo citar este artículo
Rodó, P. (2020). Propiedades de los valores esperados. Economipedia. https://economipedia.com/definiciones/propiedades-de-los-valores-esperados.html
Sobre Economipedia
Este artículo forma parte de la enciclopedia de Economipedia, una plataforma de educación financiera que ayuda a millones de personas a entender la economía, aprender a invertir y mejorar sus finanzas personales. Fundada en 2012 por Andrés Sevilla Arias y desarrollada por más de 50 economistas y asesores financieros.
Todavía no hay comentarios
Hay 2 tipos de personas: las que leen y se van…y las que dejan huella 👇
