Emisión al descuento

La emisión al descuento es una modalidad para ofrecer títulos financieros de deuda al mercado. Se caracteriza por no pagar cuotas periódicas, sino que se programa un único desembolso para el acreedor.
Con esta metodología, el crédito es emitido bajo la par. En otras palabras, el precio del instrumento de renta fija es menor a la valoración asignada por la empresa (valor nominal).
A la fecha de vencimento, el prestamista recibirá una retribución mayor al precio que pagó (Generalmente coincide con el valor nominal). Por ejemplo, lo compra a 80 y recibe 100.
Dicho procedimiento se utiliza principalmente en Letras del Tesoro, que son instrumentos de deuda del sector público, y pagarés de empresas . El Estado español, por ejemplo, tiene esta forma de financiamiento.
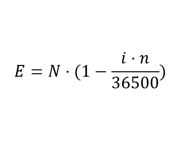
Fórmula de emisión al descuento
La fórmula de la emisión al descuento es:

Donde:
- E: Cantidad desembolsada e invertida.
- N: Valor nominal.
- i: Tipo de interés anual de descuento expresado en tanto por cien
- n: Número de días entre la fecha de adquisición y de vencimiento
Alternativamente, también podríamos expresar la fórmula del siguiente modo:

Otra forma de entender la emisión al descuento
Otra forma de entender la emisión al descuento es que es un tipo de financiamiento donde se acumula el pago de los intereses en un único desembolso.
Así, el emisor no realiza una amortización como la que usualmente ofrecen los bonos. Es decir, no se cancelan a lo largo del tiempo los gastos financieros ni se devuelve al final del periodo de endeudamiento el principal del préstamo.
Cabe explicar, además, cuál es la rentabilidad del prestamista en la emisión al descuento. Esta se obtiene de la diferencia entre el precio de adquisición y lo recibido al vencimiento.
Entonces, como podemos observar, una de las principales ventajas de este tipo de financiamiento es la simplicidad en los cálculos. Ello, a diferencia de cuando se pagan cupones.
Ejemplo de emisión al descuento
Supongamos que un gobierno emite Letras del Tesoro al descuento por un valor nominal de US$ 10.000. El tipo de interés anual es de 5% y el plazo de endeudamiento es de 90 días.
Aplicando la fórmula podemos hallar el monto de la emisión:
10.000*(1-(90*5)/36500)=9.876,71
Es decir, pagaremos 9.876,71 dólares y nos devolverán 10.000 dólares. Nuestra ganancia habrá sido de 123,29 dólares. Es decir, de forma aproximada un 1,25%. Pero, ¿la rentabilidad no era del 5%? Efectivamente, pero al tratarse de 90 días es aproximadamente una cuarta parte. Esto es 5% entre cuatro partes iguales es un 1,25%.
Autores
Publicado por Economipedia el 3 julio 2019.
Revisado por última vez el 19 abril 2024.
Cómo citar este artículo
Economipedia (2019). Emisión al descuento. Economipedia. https://economipedia.com/definiciones/emision-al-descuento.html
Sobre Economipedia
Este artículo forma parte de la enciclopedia de Economipedia, una plataforma de educación financiera que ayuda a millones de personas a entender la economía, aprender a invertir y mejorar sus finanzas personales. Fundada en 2012 por Andrés Sevilla Arias y desarrollada por más de 50 economistas y asesores financieros.
Todavía no hay comentarios
Hay 2 tipos de personas: las que leen y se van…y las que dejan huella 👇
