Inversión

Invertir se diferencia de hacer trading en que la inversión es a largo plazo, usualmente por años o décadas. En Economipedia.com, puedes encontrar contenido sobre diversos tipos de activos, estrategias de diversificación y gestión de riesgos. Además, ofrece guías prácticas, análisis de mercado y noticias financieras actualizadas para ayudarte a tomar decisiones informadas y construir riqueza a largo plazo.

Inversión
Finanzas personales: Guía completa para organizar tu dinero (2026)
José Francisco López - 29 de abril de 2026
Inversión
El S&P 500 podría subir un 19% en los próximos meses
Carlos Pareja (EFPA) - 20 de abril de 2026
Inversión
Cómo invertir en bolsa sin complicarte la vida
Carlos Pareja (EFPA) - 17 de febrero de 2026
Inversión
Cómo invertir en los mejores fondos indexados desde cero
Carlos Pareja (EFPA) - 5 de febrero de 2026
Inversión
Los fondos perfilados. ¿La gran solución?
Carlos Pareja (EFPA) - 23 de enero de 2026
Simulaciones Montecarlo

Simulación de Montecarlo

9 de diciembre de 2017

La simulación de Montecarlo es un método estadístico. Este es utilizado para resolver problemas mate ...

Ver guía
Mercado Continuo

Mercado continuo: Qué es y cómo funciona.

9 de diciembre de 2017

¿Qué es el mercado continuo? El mercado continuo es un mercado secundario en el que cotizan los t ...

Ver guía
Marco Definiciones Tir

TIR de un bono: Qué es, cálculo y ejemplos

9 de diciembre de 2017

¿Qué es la TIR de un bono? La TIR de un bono nos dice la rentabilidad esperada de un bo ...

Ver guía
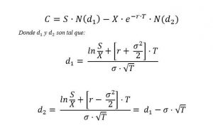
Fórmula Black Scholes 2

Modelo Black-Scholes

9 de diciembre de 2017

El modelo Black-Scholes es una fórmula utilizada para valorar el precio de una opción financiera. Es ...

Ver guía
Bono Callable

Bono callable

18 de noviembre de 2017

Un bono callable es aquel bono que lleva implícito un derecho por parte del emisor de recomprar el ...

Ver guía
Fases Wyckoff

Método Wyckoff

18 de noviembre de 2017

El método Wyckoff es un método o sistema de inversión que intenta, a través de la interpretación de ...

Ver guía

Destacados

Explorar Inversión

Guía

Finanzas personales: Guía completa para organizar tu dinero (2026)

Por José Francisco López | 29/04/2026

Guía

Cómo invertir en bolsa sin complicarte la vida

Por Carlos Pareja (EFPA) | 17/02/2026

Guía

Cómo invertir en los mejores fondos indexados desde cero

Por Carlos Pareja (EFPA) | 05/02/2026

Guía

Los fondos perfilados. ¿La gran solución?

Por Carlos Pareja (EFPA) | 23/01/2026

Guía

Cómo invertir en Private Equity

Por Carlos Pareja (EFPA) | 05/12/2025

Guía

InvestingPro: Opinión y análisis – Review Completa [2025]

Por Andrés Sevilla Arias (CFA) | 24/11/2025

Guía

Los mejores fondos de inversión del sector salud

Por Carlos Pareja (EFPA) | 21/10/2025

Guía

Renta 4 vs Trade Republic: ¿Qué bróker es mejor? [2025]

Por Carlos Pareja (EFPA) | 11/08/2025

Guía

Cómo hacer una cartera de inversión para tu hijo

Por Carlos Pareja (EFPA) | 21/07/2025

Guía

MyInvestor vs Renta 4: ¿Qué bróker es mejor? [2025]

Por Andrés Sevilla Arias (CFA) | 23/06/2025

Guía

Reental: Opinión y análisis – Guía Completa [2025]

Por Andrés Sevilla Arias (CFA) | 17/06/2025

XTB

Guía

XTB: Análisis y Opinión [2025] – Guía completa

Por José Antonio Ludeña | 10/06/2025

Guía

Renta 4: Opinión y análisis – Guía Completa [2026]

Por Andrés Sevilla Arias (CFA) | 10/06/2025

Análisis Técnico

Definición

Análisis técnico: Qué es, principios y claves para invertir

Por José Francisco López | 21/05/2025

Margin Call

Definición

Llamada de margen (margin call): Qué es, consecuencias y ejemplos

Por José Antonio Ludeña | 21/05/2025

Bolsa De Valores

Definición

Bolsa de valores: Qué es, cómo funciona y para qué sirve

Por Andrés Sevilla Arias (CFA) | 21/05/2025

Fondo De Emergencia

Definición

Fondo de emergencia: Qué es, cómo crearlo, cuánto dinero poner y dónde

Por Carlos Pareja (EFPA) | 21/05/2025

Fondo Indexado

Definición

Fondo indexado: Qué es, tipos y ventajas

Por José Francisco López | 21/05/2025

Guía

MyInvestor: Opinión y análisis – Guía Completa [2025]

Por Andrés Sevilla Arias (CFA) | 20/05/2025

Guía

Protege tus ahorros con ETFs de Oro

Por Carlos Pareja (EFPA) | 13/05/2025

Guía

Las 4 herramientas que cambiarán para siempre tu forma de invertir

Por Carlos Pareja (EFPA) | 13/05/2025

Guía

Trade Republic. Opinión y análisis: Guía completa [2025]

Por Andrés Sevilla Arias (CFA) | 12/05/2025

Guía

Los mejores ETFs para invertir en inmuebles (Real Estate)

Por Andrés Sevilla Arias (CFA) | 22/04/2025

Definición

Xetra: Qué es, cómo funciona y cuáles son sus características

Por Andrés Sevilla Arias (CFA) | 26/09/2024

Swap De Índice Bursátil

Definición

Swap de índice bursátil: Qué es, ventajas y ejemplo

Por Enrique Rus Arias | 25/03/2024

Definción De Gasto De Inversión 1

Definición

Gastos de inversión: Qué son y cómo diferenciarlos

Por Federico J. Caballero Ferrari | 06/03/2024

Avaoptions

Definición

Avaoptions

Por Economipedia | 18/01/2024

Tether Gold (xaut)

Definición

Tether gold (XAUT)

Por Jonathan Llamas | 08/01/2024

Pancakeswap

Definición

PancakeSwap

Por Jonathan Llamas | 07/01/2024

Quema De Tokens

Definición

Quema de tokens

Por Jonathan Llamas | 07/01/2024

Paypal Usd (pyusd)

Definición

Paypal USD (PYUSD): La criptomoneda de Paypal

Por Jonathan Llamas | 06/01/2024

Porcentaje De Rendimiento Anual (apy)

Definición

Porcentaje de rendimiento anual (APY)

Por Jonathan Llamas | 05/01/2024

Uniswap (uni)

Definición

Uniswap (UNI)

Por Jonathan Llamas | 03/01/2024

Tezos (xtz)

Definición

Tezos (XTZ)

Por Jonathan Llamas | 19/12/2023

Dai

Definición

DAI

Por Jonathan Llamas | 07/12/2023

Wrapped Token

Definición

Wrapped token

Por Jonathan Llamas | 06/12/2023

Steth

Definición

STETH

Por Jonathan Llamas | 06/12/2023

Monedero Frío (cold Wallet)

Definición

Monedero frío (Cold wallet)

Por Jonathan Llamas | 05/12/2023

Análisis Técnico

Definición

Análisis técnico: Qué es, principios y claves para invertir

Por José Francisco López | 21/05/2025

Margin Call

Definición

Llamada de margen (margin call): Qué es, consecuencias y ejemplos

Por José Antonio Ludeña | 21/05/2025

Bolsa De Valores

Definición

Bolsa de valores: Qué es, cómo funciona y para qué sirve

Por Andrés Sevilla Arias (CFA) | 21/05/2025

Fondo De Emergencia

Definición

Fondo de emergencia: Qué es, cómo crearlo, cuánto dinero poner y dónde

Por Carlos Pareja (EFPA) | 21/05/2025

Fondo Indexado

Definición

Fondo indexado: Qué es, tipos y ventajas

Por José Francisco López | 21/05/2025

Definición

Xetra: Qué es, cómo funciona y cuáles son sus características

Por Andrés Sevilla Arias (CFA) | 26/09/2024

Swap De Índice Bursátil

Definición

Swap de índice bursátil: Qué es, ventajas y ejemplo

Por Enrique Rus Arias | 25/03/2024

Definción De Gasto De Inversión 1

Definición

Gastos de inversión: Qué son y cómo diferenciarlos

Por Federico J. Caballero Ferrari | 06/03/2024

Avaoptions

Definición

Avaoptions

Por Economipedia | 18/01/2024

Tether Gold (xaut)

Definición

Tether gold (XAUT)

Por Jonathan Llamas | 08/01/2024

Pancakeswap

Definición

PancakeSwap

Por Jonathan Llamas | 07/01/2024

Quema De Tokens

Definición

Quema de tokens

Por Jonathan Llamas | 07/01/2024

Paypal Usd (pyusd)

Definición

Paypal USD (PYUSD): La criptomoneda de Paypal

Por Jonathan Llamas | 06/01/2024

Porcentaje De Rendimiento Anual (apy)

Definición

Porcentaje de rendimiento anual (APY)

Por Jonathan Llamas | 05/01/2024

Uniswap (uni)

Definición

Uniswap (UNI)

Por Jonathan Llamas | 03/01/2024

Tezos (xtz)

Definición

Tezos (XTZ)

Por Jonathan Llamas | 19/12/2023

Dai

Definición

DAI

Por Jonathan Llamas | 07/12/2023

Wrapped Token

Definición

Wrapped token

Por Jonathan Llamas | 06/12/2023

Steth

Definición

STETH

Por Jonathan Llamas | 06/12/2023

Monedero Frío (cold Wallet)

Definición

Monedero frío (Cold wallet)

Por Jonathan Llamas | 05/12/2023

Guía

Finanzas personales: Guía completa para organizar tu dinero (2026)

Por José Francisco López | 29/04/2026

Guía

Cómo invertir en bolsa sin complicarte la vida

Por Carlos Pareja (EFPA) | 17/02/2026

Guía

Cómo invertir en los mejores fondos indexados desde cero

Por Carlos Pareja (EFPA) | 05/02/2026

Guía

Los fondos perfilados. ¿La gran solución?

Por Carlos Pareja (EFPA) | 23/01/2026

Guía

Cómo invertir en Private Equity

Por Carlos Pareja (EFPA) | 05/12/2025

Guía

InvestingPro: Opinión y análisis – Review Completa [2025]

Por Andrés Sevilla Arias (CFA) | 24/11/2025

Guía

Los mejores fondos de inversión del sector salud

Por Carlos Pareja (EFPA) | 21/10/2025

Guía

Renta 4 vs Trade Republic: ¿Qué bróker es mejor? [2025]

Por Carlos Pareja (EFPA) | 11/08/2025

Guía

Cómo hacer una cartera de inversión para tu hijo

Por Carlos Pareja (EFPA) | 21/07/2025

Guía

MyInvestor vs Renta 4: ¿Qué bróker es mejor? [2025]

Por Andrés Sevilla Arias (CFA) | 23/06/2025

Guía

Reental: Opinión y análisis – Guía Completa [2025]

Por Andrés Sevilla Arias (CFA) | 17/06/2025

XTB

Guía

XTB: Análisis y Opinión [2025] – Guía completa

Por José Antonio Ludeña | 10/06/2025

Guía

Renta 4: Opinión y análisis – Guía Completa [2026]

Por Andrés Sevilla Arias (CFA) | 10/06/2025

Guía

MyInvestor: Opinión y análisis – Guía Completa [2025]

Por Andrés Sevilla Arias (CFA) | 20/05/2025

Guía

Protege tus ahorros con ETFs de Oro

Por Carlos Pareja (EFPA) | 13/05/2025

Guía

Las 4 herramientas que cambiarán para siempre tu forma de invertir

Por Carlos Pareja (EFPA) | 13/05/2025

Guía

Trade Republic. Opinión y análisis: Guía completa [2025]

Por Andrés Sevilla Arias (CFA) | 12/05/2025

Guía

Los mejores ETFs para invertir en inmuebles (Real Estate)

Por Andrés Sevilla Arias (CFA) | 22/04/2025